Pregel Algorithms
Pregel algorithms can be used for graph exploration, path finding, analytics queries, and much more.
Pregel algorithms are used in scenarios where you need to do an analysis of a graph stored in ArangoDB to get insights about its nature and structure - without having to use external processing systems.
Pregel can solve numerous graph problems and offers solutions that are essential building blocks in the cycle of a real world application. For example, in a network system, detecting the weaknesses of the network design and determining the times when the network is vulnerable may significantly reduce any downtime.
In the section below you can find more details about all available Pregel algorithms in ArangoDB.
Available Algorithms
PageRank
PageRank is a well known algorithm to rank vertices in a graph: the more important a vertex, the higher rank it gets. It goes back to L. Page and S. Brin’s paper and is used to rank pages in in search engines (hence the name). The algorithm runs until the execution converges. To specify a custom threshold, use the threshold parameter; to run for a fixed number of iterations, use the maxGSS parameter.
The rank of a vertex is a positive real number. The algorithm starts with every vertex having the same rank (one divided by the number of vertices) and sends its rank to its out-neighbors. The computation proceeds in iterations. In each iteration, the new rank is computed according to the formula “(0.15/total number of vertices) + (0.85 * the sum of all incoming ranks)”. The value sent to each of the out-neighbors is the new rank divided by the number of those neighbors, thus every out-neighbor gets the same part of the new rank.
The algorithm stops when at least one of the two conditions is satisfied:
- The maximum number of iterations is reached. This is the same
maxGSSparameter as for the other algorithms. - Every vertex changes its rank in the last iteration by less than a certain threshold. The default threshold is 0.00001, a custom value can be set with the
thresholdparameter.
var pregel = require("@arangodb/pregel");
pregel.start("pagerank", "graphname", { maxGSS: 100, threshold: 0.00000001, resultField: "rank" })
Seeded PageRank
It is possible to specify an initial distribution for the vertex documents in
your graph. To define these seed ranks / centralities, you can specify a
sourceField in the properties for this algorithm. If the specified field is
set on a document and the value is numeric, then it is used instead of
the default initial rank of 1 / numVertices.
var pregel = require("@arangodb/pregel");
pregel.start("pagerank", "graphname", { maxGSS: 20, threshold: 0.00000001, sourceField: "seed", resultField: "rank" })
Single-Source Shortest Path
Calculates the distances, that is, the lengths of shortest paths from the given source to all other vertices, called targets. The result is written to the specified property of the respective target.
The distance to the source vertex itself is returned as 0 and a length above
9007199254740991 (max safe integer) means that there is no path from the source to the vertex in the graph.
The algorithm runs until all distances are computed. The number of iterations is bounded by the diameter of your graph (the longest distance between two vertices).
A call of the algorithm requires the source parameter whose value is the document ID of the source vertex. The result field needs to be
specified in _resultField (note the underscore).
var pregel = require("@arangodb/pregel");
pregel.start("sssp", "graphname", { source: "vertices/1337", _resultField: "distance" });
Connected Components
There are three algorithms to find connected components in a graph:
-
If your graph is effectively undirected (for every edge from vertex A to vertex B there is also an edge from B to A), then the simple connected components algorithm named
"connectedcomponents"is suitable.It is a very simple and fast algorithm, but it only works correctly on undirected graphs. Your results on directed graphs may vary, depending on how connected your components are.
In an undirected graph, a connected component is a subgraph:
- where there is a path between every pair of vertices from this component and
- which is maximal with this property: adding any other vertex would destroy it. In other words, there is no path between any vertex from the component and any vertex not in the component.
-
To find weakly connected components (WCC) you can use the algorithm named
"wcc". A weakly connected component in a directed graph is a maximal subgraph such that there is a path between each pair of vertices where we can walk also against the direction of edges. More formally, it is a connected component (see the definition above) in the underlying undirected graph, i.e., in the undirected graph obtained by adding an edge from vertex B to vertex A (if it does not already exist), if there is an edge from vertex A to vertex B.This algorithm works on directed graphs but, in general, requires a greater amount of traffic between DB-Servers.
-
To find strongly connected components (SCC) you can use the algorithm named
"scc". A strongly connected component is a maximal subgraph, where for every two vertices, there is a path from one of them to the other. It is thus defined as a weakly connected component, but one is not allowed to run against the edge directions.The algorithm is more complex than the WCC algorithm and, in general, requires more memory.
All above algorithms assign a component ID to each vertex, a number which is
written into the specified resultField. All vertices from the same component
obtain the same component ID, every two vertices from different components
obtain different IDs.
var pregel = require("@arangodb/pregel");
// connected components
pregel.start("connectedcomponents", "graphname", { resultField: "component" });
// weakly connected components
pregel.start("wcc", "graphname", { resultField: "component_weak" });
// strongly connected components
pregel.start("scc", "graphname", { resultField: "component_strong" });
Hyperlink-Induced Topic Search (HITS)
HITS is a link analysis algorithm that rates Web pages, developed by Jon Kleinberg in J. Kleinberg, Authoritative sources in a hyperlinked environment, Journal of the ACM. 46 (5): 604–632, 1999. The algorithm is also known as Hubs and Authorities.
The idea behind hubs and authorities comes from the typical structure of the early web: certain websites, known as hubs, serve as large directories that are not actually authoritative on the information that they point to. These hubs are used as compilations of a broad catalog of information that leads users to other, authoritative, webpages.
The algorithm assigns two scores to each vertex: the authority score and the hub score. The authority score of a vertex rates the total hub score of vertices pointing to that vertex; the hub score rates the total authority score of vertices pointed by it. Also see en.wikipedia.org/wiki/HITS_algorithm. Note, however, that this version of the algorithm is slightly different from that of the original paper.
ArangoDB offers two versions of the algorithm: the original Kleinberg’s version and our own version that has some advantages and disadvantages as discussed below.
Both versions keep two values for each vertex: the hub value and the authority value and update both of them in iterations until the corresponding sequences converge or until the maximum number of steps is reached. The hub value of a vertex is updated from the authority values of the vertices pointed by it; the authority value is updated from the hub values of the vertices pointing to it.
The differences of the two versions are technical (and we omit the tedious description here) but have some less technical implications:
- The original version needs twice as many global super-steps as our version.
- The original version is guaranteed to converge, our version may also converge, but there are examples where it does not (for instance, on undirected stars).
- In the original version, the output values are normed in the sense that the sum of their squared values is 1, our version does not guarantee that.
In a call of either version, the threshold parameter can be used to set a limit for the convergence
(measured as the maximum absolute difference of the hub and authority scores
between the current and last iteration).
If the value of the result field is <resultField>, then the hub score is stored in
the <resultField>_hub field and the authority score in the <resultField>_auth field.
The algorithm can be executed like this:
var pregel = require("@arangodb/pregel");
var handle = pregel.start("hits", "graphname", { threshold:0.00001, resultField: "score" });
for ArangoDB’s version and
var pregel = require("@arangodb/pregel");
var handle = pregel.start("hitskleinberg", "graphname", { threshold:0.00001, resultField: "score" });
for the original version.
Vertex Centrality
Centrality measures help identify the most important vertices in a graph. They can be used in a wide range of applications: to identify influencers in social networks, or middlemen in terrorist networks.
There are various definitions for centrality, the simplest one being the vertex degree. These definitions were not designed with scalability in mind. It is probably impossible to discover an efficient algorithm which computes them in a distributed way. Fortunately there are scalable substitutions available, which should be equally usable for most use cases.

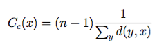
Effective Closeness
A common definitions of centrality is the closeness centrality
(or closeness). The closeness of a vertex in a graph is the inverse average
length of the shortest path between the vertex and all other vertices.
For vertices x, y and shortest distance d(y, x) it is defined as:

Effective Closeness approximates the closeness measure. The algorithm works by
iteratively estimating the number of shortest paths passing through each vertex.
The score approximates the real closeness score, since it is not possible
to actually count all shortest paths due to the horrendous O(n^2 * d) memory
requirements. The algorithm is from the paper
Centralities in Large Networks: Algorithms and Observations (U Kang et.al. 2011).
ArangoDBs implementation approximates the number of shortest path in each iteration by using a HyperLogLog counter with 64 buckets. This should work well on large graphs and on smaller ones as well. The memory requirements should be O(n * d) where n is the number of vertices and d the diameter of your graph. Each vertex stores a counter for each iteration of the algorithm.
The algorithm can be used like this:
const pregel = require("@arangodb/pregel");
const handle = pregel.start("effectivecloseness", "graphname", { resultField: "closeness" });
LineRank
Another common measure is the betweenness centrality: It measures the number of times a vertex is part of shortest paths between any pairs of vertices. For a vertex v betweenness is defined as:

Where the σ represents the number of shortest paths between x and y, and σ(v) represents the number of paths also passing through a vertex v. By intuition a vertex with higher betweenness centrality has more information passing through it.
LineRank approximates the random walk betweenness of every vertex in a graph. This is the probability that someone, starting on an arbitrary vertex, visits this node when they randomly choose edges to visit.
The algorithm essentially builds a line graph out of your graph (switches the vertices and edges), and then computes a score similar to PageRank. This can be considered a scalable equivalent to vertex betweenness, which can be executed distributedly in ArangoDB. The algorithm is from the paper Centralities in Large Networks: Algorithms and Observations (U Kang et.al. 2011).
const pregel = require("@arangodb/pregel");
const handle = pregel.start("linerank", "graphname", { resultField: "linerank" });
Community Detection
Graphs based on real world networks often have a community structure. This means it is possible to find groups of vertices such that each vertex group is internally more densely connected than outside the group. This has many applications when you want to analyze your networks, for example Social networks include community groups (the origin of the term, in fact) based on common location, interests, occupation, etc.
Label Propagation
Label Propagation can be used to implement community detection on large graphs. The algorithm assigns a community, more precisely, a Community ID (a natural number), to every vertex in the graph. The idea is that each vertex should be in the community that most of its neighbors are in.
At first, the algorithm assigns unique initial Community IDs to the vertices. The assignment is deterministic given the graph and the distribution of vertices on the shards, but there is no guarantee that a vertex obtains the same initial ID in two different runs of the algorithm, even if the graph does not change (because the sharding may change). Moreover, there is no guarantee on a particular distribution of the initial IDs over the vertices.
Then, in each iteration, a vertex sends its current Community ID to all its neighbor vertices. After that each vertex adopts the Community ID it received most frequently in the last step.
Note that, in a usual implementation of Label Propagation, if there are multiple most frequently received Community IDs, one is chosen randomly. An advantage of our implementation is that this choice is deterministic. This comes for the price that the choice rules are somewhat involved: If a vertex obtains only one ID and the ID of the vertex from the previous step, its old ID, is less than the obtained ID, the old ID is kept. (IDs are numbers and thus comparable to each other.) If a vertex obtains more than one ID, its new ID is the lowest ID among the most frequently obtained IDs. (For example, if the obtained IDs are 1, 2, 2, 3, 3, then 2 is the new ID.) If, however, no ID arrives more than once, the new ID is the minimum of the lowest obtained IDs and the old ID. (For example, if the old ID is 5 and the obtained IDs are 3, 4, 6, then the new ID is 3. If the old ID is 2, it is kept.)
If a vertex keeps its ID 20 times or more in a row, it does not send its ID. Vertices that did not obtain any IDs do not update their ID and do not send it.
The algorithm runs until it converges, which likely never really happens on large graphs. Therefore you need to specify a maximum iteration bound. The default bound is 500 iterations, which is too large for common applications.
The algorithm should work best on undirected graphs. On directed graphs, the resulting partition into communities might change, if the number of performed steps changes. How strong the dependence is may be influenced by the density of the graph.
const pregel = require("@arangodb/pregel");
const handle = pregel.start("labelpropagation", "graphname", { maxGSS: 100, resultField: "community" });
Speaker-Listener Label Propagation
The Speaker-listener Label Propagation (SLPA) can be used to implement community detection. It works similar to the label propagation algorithm, but now every node additionally accumulates a memory of observed labels (instead of forgetting all but one label).
Before the algorithm run, every vertex is initialized with an unique ID (the initial community label). During the run three steps are executed for each vertex:
- Current vertex is the listener, all other vertices are speakers.
- Each speaker sends out a label from memory, we send out a random label with a probability proportional to the number of times the vertex observed the label.
- The listener remembers one of the labels, we always choose the most frequently observed label.
const pregel = require("@arangodb/pregel");
const handle = pregel.start("slpa", "graphname", { maxGSS:100, resultField: "community" });
You can also execute SLPA with the maxCommunities parameter to limit the
number of output communities. Internally the algorithm still keeps the
memory of all labels, but the output is reduced to just the n most frequently
observed labels.
const pregel = require("@arangodb/pregel");
const handle = pregel.start("slpa", "graphname", { maxGSS: 100, resultField: "community", maxCommunities: 1 });
// check the status periodically for completion
pregel.status(handle);